Financiación medios de comunicación
PRIMERA INYECCIÓN DE DINERO
15.000.000 de Euros
RAZÓN: Las empresas de servicios audiovisuales han visto aumentar su audiencia por las medidas de confinamiento, pero al mismo tiempo están sufriendo una brusca caída de sus ingresos (…) son un servicio esencial para la ciudadanía.
BOE: Miércoles 1 de abril de 2020 – Sec. I. Pág. 27927

https://www.boe.es/boe/dias/2020/04/01/pdfs/BOE-A-2020-4208.pdf
SEGUNDA INYECCIÓN DE DINERO
10.000.000 de Euros
RAZÓN: Compensar a los prestadores de comunicación televisiva por los costes derivados de “liberar” la banda de los 700 mhz, que será usada para el 5G.
BOE- Miércoles 29 de julio de 2020 Sec. I. Pág. 59142


https://www.boe.es/boe/dias/2020/04/01/pdfs/BOE-A-2020-4208.pdf
TERCERA INYECCIÓN DE DINERO
112.000.000 de Euros
RAZÓN: Prestación de los servicios de compra de espacios en medios de comunicación y demás soportes publicitarios para la difusión de las campañas de publicidad institucional.
BOE: Martes 19 de enero de 2021 Sec. V-A. Pág. 2534


https://www.boe.es/boe/dias/2021/01/19/pdfs/BOE-B-2021-1910.pdf . (MIRROR)
CUARTA INYECCIÓN DE DINERO (En trámite)
1.600.000.000 de euros
Los recursos públicos que se prevén movilizar para el Plan “España, Hub Audiovisual de Europa” ascienden a 1.603 millones de euros a lo largo del periodo 2021-2025. De ellos, 240 millones de euros, lo que supone el 15% de los fondos, se utilizará para financiar las actuaciones englobadas en el Eje 1 del Plan consistentes en el apoyo y fomento a la producción y promoción audiovisual, la integración de tecnologías digitales y la internacionalización de la industria y el talento local en un entorno global.
La mayor parte del presupuesto, 1330M€ (el 83% de los recursos disponibles), se destinará al Eje 2 que está integrado por todas aquellas medidas relacionadas con la mejora de los instrumentos financieros y fiscales dirigidos a financiar los proyectos y empresas de producción audiovisual española.
Por último, se prevé destinar 33M€ a actuaciones incluidas en los Ejes 3 y 4 orientadas al apoyo de generación de profesionales altamente cualificados que cuenten con las competencias digitales demandadas por la industria audiovisual y a la digitalización de los procedimientos administrativos relacionados con la actividad de producción audiovisual en España.
Los recursos financieros de este Plan provendrán de los Presupuestos Generales del Estado y de fondos de la Unión Europea (principalmente, el Fondo Europeo de Recuperación y Resiliencia, el Fondo Europeo de Desarrollo Regional (FEDER) y el Programa Europa Creativa para el periodo 2021-2027.
https://www.lamoncloa.gob.es/presidente/actividades/Documents/2021/240321-Plan_de_impulso_al_sector_audiovisual.pdf – ( Mirror )
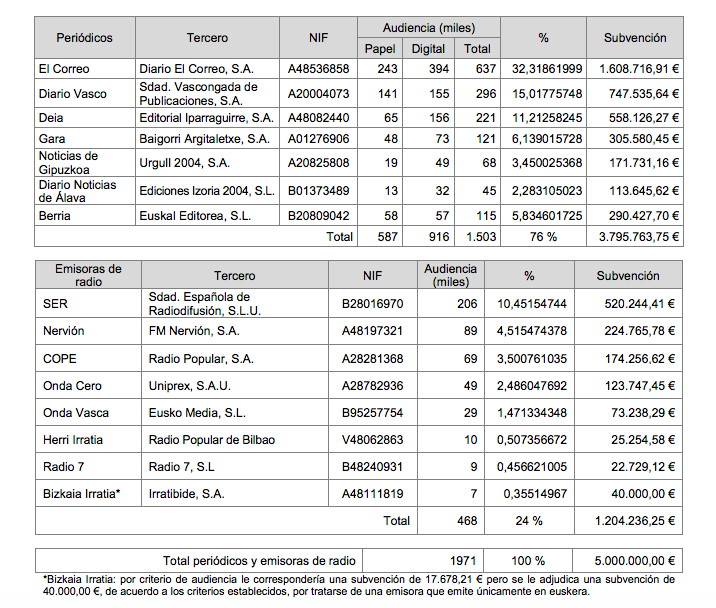
QUINTA INYECCIÓN DE DINERO
5.000.000 de euros
RAZÓN: Subvenciones directas en el año 2021, por un total de 5.000.000 de euros, a los medios de comunicación de prensa y radio con sede o delegación en Euskadi que se detallan en la siguiente relación y por los importes individuales que en la misma se especifican, destinadas a paliar los efectos de la afección económica generada por la COVID-19.
RESOLUCIÓN 65/2021, de 23 de noviembre, del Director de la Secretaría del Gobierno y de Relaciones con el Parlamento
https://www.euskadi.eus/bopv2/datos/2021/12/2106167a.pdf | (Mirror)
OTRAS SUBVENCIONES: LÍNEAS DE FINANCIACIÓN
780.000.000 euros
RAZÓN: La Sociedad de Garantía Recíproca Audiovisual Fianzas SGR promoverá, en colaboración con las entidades financieras que deseen participar, las siguientes líneas de financiación dirigidas a empresas del sector cultural por un importe total de 780.000.000 euros.
«BOE» núm. 126, de 06/05/2020
Financiación medios de comunicación
- 142 millones de euros en subvenciones directas para los medios de comunicación privados durante la «pandemia».
- 1600 millones de euros en subvenciones en trámite (Plan Hub audiovisual España)
- TOTAL: 1742 MILLONES DE EUROS (1742.000.000 euros) de financiación para el sector audiovisual y MEDIOS PRIVADOS de España.


